개정된 오르막차로 설치 기준 추가
개정된 오르막차로 설치 기준 추가
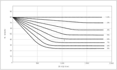
오르막 구간 자동 설치 시 설치 기준 차량이 추가되었습니다.
기존에는 설치기준차량에 표준트럭 (120kg/kw(200lb/hp))을 이용하여 오르막 설치구간을 계산하였습니다. 그러나 개정된 기준에서는 표준 트럭 (100kg/kw(170lb/Hp))에 근거하여 감속곡선과 가속곡선을 그리고 있습니다.
다음 이미지에서 보는 것과 같이 오르막 구간 자동 설치 시 표준 트럭 (100kg/kw(170lb/Hp)) 을 추가하였습니다.


< 개정된 그래프 >


64개(2/3페이지)
| 번호 | 제목 | 글쓴이 | 조회 | 날짜 |
|---|---|---|---|---|
|
나모소프트 전제품 ZWCAD 지원!!!
|
마케팅사업부 | 2726 | 2024.06.10 09:35 |
|
Namosoft 전제품 2024버전 출시와 무상업그레이드 신청 안내 | 마케팅사업부 | 2460 | 2024.01.24 15:33 |
|
Point Cloud 3D 기능 무료 패치
|
마케팅사업부 | 2878 | 2022.08.22 16:05 |
|
배수 프로젝트 수량 기능 무료 패치
|
마케팅사업부 | 3806 | 2021.10.13 11:16 |
|
횡배수 프로젝트 설계에 다양한 강우강도 공식 추가
|
김여사 | 4406 | 2021.06.15 11:42 |
|
RPNT2020 Nscad AutoCAD 동시지원, 노면배수 업데이트 | 마케팅사업부 | 5640 | 2020.02.03 15:37 |
|
NsCAD 2세대 엔진의 단지설계 프로그램 출시
|
마케팅사업부 | 5618 | 2019.05.20 10:10 |
|
Site 3D Projector 블록 포장 제작 추가
|
마케팅사업부 | 6725 | 2018.07.17 10:52 |
|
Road 3D Projector IC 자동 생성 (트럼펫과 다이아몬드
|
마케팅사업부 | 7363 | 2018.05.15 16:51 |
|
Road 3D Projector 클로소이드 계산기 기능 추가
|
마케팅사업부 | 8474 | 2018.05.15 16:44 |
|
Road 3D Projector 신제품 출시 | 마케팅사업부 | 5367 | 2018.01.15 15:36 |
|
[도로설계] 깎기비탈면 안정성 증대를 위한 소단 설계기준 개선 기능 추가
|
마케팅사업부 | 9632 | 2016.08.25 16:25 |
|
Site 3D Projector 블럭 임의 횡단 추가
|
마케팅사업부 | 6881 | 2016.03.03 15:20 |
|
Road Projector 2016 발파 영향원 겹침 처리
|
마케팅사업부 | 7786 | 2016.03.03 14:00 |
|
Site 3D Projector 2015 토취장 설계 기능 추가
|
마케팅사업부 | 10961 | 2015.09.17 15:41 |
|
관로 종단계획에서 실시간 수리 계산 기능 추가
|
마케팅사업부 | 9787 | 2015.09.02 10:56 |
|
Site 3D Projector 2015 발파영향원에 의한 물량 계산
|
마케팅사업부 | 10233 | 2015.08.13 17:25 |
|
Site 3D Projector 2015 절.성 경계점 표시
|
마케팅사업부 | 6793 | 2015.08.12 16:58 |
|
Site 3D Projector 2015 좌표전개도 기능 추가
|
마케팅사업부 | 8649 | 2015.08.11 15:36 |
|
지적도를 이용한 토공영역 자동 입력 추가
|
마케팅사업부 | 10945 | 2015.02.02 17:15 |
|
토공량계산서 수식포함 엑셀계산서가 추가되었습니다.
|
마케팅사업부 | 12524 | 2014.12.15 09:19 |
|
불법사용 제보를 받습니다. | 제품연구실 | 6366 | 2014.09.01 11:15 |
| 22 |
횡단면도 배수 흐름 표시 기능 추가
|
마케팅사업부 | 9215 | 2014.07.04 17:16 |
| 21 |
개정된 오르막차로 설치기준 RP 7.0에 추가
|
마케팅사업부 | 4311 | 2014.06.27 16:46 |
| 20 |
수치지형 모델 생성시 유효범위 지정 기능 추가
|
마케팅사업부 | 3424 | 2014.06.11 10:23 |
| 19 | 제6회 전국동시지방선거 휴무 안내 | 나모소프트 | 3061 | 2014.05.28 09:42 |
| 18 | 근로자의 날 휴무 안내 | 나모소프트 | 3054 | 2014.04.28 11:31 |
| >> |
개정된 오르막차로 설치 기준 추가
|
마케팅사업부 | 5564 | 2014.04.01 14:37 |
| 16 | AutoCAD 2015 지원 전제품 2014버전 출시!!! | 마케팅사업부 | 3498 | 2014.03.07 19:08 |
| 15 | Road Projector 한글 버전과 영문 버전 동시 제공 | 마케팅사업부 | 3747 | 2014.02.11 13:35 |
| 14 |
산지관리법시행령(산림청인증)기준에 의한 경사분석
|
마케팅사업부 | 13362 | 2014.01.07 14:57 |
| 13 | 하천설계 보상 프로모션 안내 | 마케팅사업부 | 4109 | 2013.11.22 15:33 |
| 12 | Namosoft River Projector 하천 설계 프로그램 출시 | 마케팅사업부 | 5358 | 2013.10.14 11:51 |
| 11 |
2012개정된 지역별 확률 강우강도식 업데이트
|
제품연구실2 | 5651 | 2013.08.28 19:09 |
| 10 | SP2012 네트워크 5유저 제품 출시 | 마케팅사업부 | 3742 | 2013.07.24 14:36 |
| 9 | CP 2013 출시 전 기념 프로모션!!! | 마케팅사업부 | 4254 | 2013.07.01 11:51 |
| 8 | Road Projector 중고 피해 !!! 확인하고 구입하세요. | 마케팅사업부 | 4250 | 2013.06.27 16:27 |
| 7 |
Civil Projector 2012, Site Projector 201
|
마케팅사업부 | 4325 | 2013.05.13 10:05 |
| 6 | ◆ 근로자의 날 휴무 안내 | 나모소프트 | 3509 | 2013.04.26 17:56 |
| 5 |
Civil Projector 2012 업그레이드
|
마케팅사업부 | 4249 | 2013.04.01 18:03 |
| 4 | Road Projector 2.5이하 버전 업그레이드 안내 및 서비스 변 | 마케팅사업부 | 6739 | 2013.02.13 16:37 |
| 3 |
Civil Projector 2012, Site Projector 201
|
마케팅사업부 | 3796 | 2013.01.08 09:27 |

신고
인쇄
스크랩






